DFT 交换关联泛函

Open In Colab

学习目标

  • 理解局域密度近似(LDA)的物理基础

  • 掌握 Dirac 交换和 PZ81/VWN 关联泛函

  • 对比不同 XC 泛函对计算结果的影响

LDA 的物理图像

局域密度近似假设交换关联能量密度仅依赖局域电子密度:

\[E_{\mathrm{xc}}[n] = \int \epsilon_{\mathrm{xc}}(n(r)) n(r) dr\]

其中 \(\epsilon_{\mathrm{xc}}(n)\) 由均匀电子气模型确定。

Dirac 交换

\[\epsilon_x(n_\sigma) = -\frac{3}{4}\left(\frac{3}{\pi}\right)^{1/3} n_\sigma^{1/3}\]
\[v_x^\sigma = \frac{\delta E_x}{\delta n_\sigma} = -\left(\frac{3}{\pi}\right)^{1/3} n_\sigma^{1/3}\]

理论基础:LDA 交换关联泛函

密度泛函理论(DFT)将多体问题简化为单粒子 Kohn-Sham 方程。

局域密度近似(LDA)

交换关联能密度:

\[\varepsilon_{xc}[n(r)] \approx \varepsilon_{xc}^{\text{hom}}(n(r))\]

使用均匀电子气结果:

Dirac 交换

\[\varepsilon_x(n) = -\frac{3}{4}\left(\frac{3}{\pi}\right)^{1/3} n^{1/3}\]
\[v_x(n) = \frac{\delta E_x}{\delta n} = -\left(\frac{3}{\pi}\right)^{1/3} n^{1/3}\]

PZ81 关联

Perdew-Zunger 1981 参数化 Ceperley-Alder QMC 结果:

\[\begin{split}\varepsilon_c(r_s, \zeta) = \begin{cases} A\ln r_s + B + Cr_s\ln r_s + Dr_s & r_s \geq 1 \\ \gamma/(1+\beta_1\sqrt{r_s}+\beta_2 r_s) & r_s < 1 \end{cases}\end{split}\]

其中 \(r_s = (3/(4\pi n))^{1/3}\) 为 Wigner-Seitz 半径。

代码实现

  • vx_dirac(n) → 交换势

  • lda_c_pz81(n_up, n_dn) → 关联势与能量

[1]:
# 环境配置
import sys

if "google.colab" in sys.modules:
    !pip install -q git+https://github.com/bud-primordium/AtomSCF.git
[2]:
# 配置中文字体(避免乱码)
import matplotlib.pyplot as plt
import matplotlib

# 跨平台中文字体配置
matplotlib.rcParams['font.sans-serif'] = [
    'Arial Unicode MS',      # macOS
    'WenQuanYi Micro Hei',  # Linux
    'SimHei',                # Windows
    'DejaVu Sans'            # Fallback
]
matplotlib.rcParams['axes.unicode_minus'] = False

# 清除字体缓存(重要!)
try:
    import matplotlib.font_manager as fm
    fm._load_fontmanager(try_read_cache=False)
except Exception:
    pass

[3]:

import numpy as np import matplotlib.pyplot as plt from atomscf.grid import radial_grid_linear from atomscf.scf import SCFConfig, run_lsda_pz81, run_lsda_vwn from atomscf.xc.lda import vx_dirac, ex_dirac_density, lda_c_pz81 from atomscf.xc.vwn import lda_c_vwn plt.style.use('seaborn-v0_8-darkgrid') plt.rcParams['figure.figsize'] = (12, 5) def safe_energy(result, key): return result.energies.get(key, 0.0) if result.energies else 0.0 def get_eps(result, l, spin='up', idx=0): eps_list = result.eps_by_l_sigma.get((l, spin), []) return eps_list[idx] if idx < len(eps_list) else 0.0

XC 势与能量密度

可视化交换和关联势对密度的依赖:

[4]:
# 测试密度范围
n_test = np.logspace(-4, 1, 200)  # 10⁻⁴ 到 10 Bohr⁻³

# 计算 Dirac 交换势
vx_test = vx_dirac(n_test)

# 计算 PZ81 关联
eps_c_pz81, vc_up_pz81, vc_dn_pz81, ec_pz81 = lda_c_pz81(n_test / 2, n_test / 2)

# 计算 VWN 关联
eps_c_vwn, vc_up_vwn, vc_dn_vwn, ec_vwn = lda_c_vwn(n_test / 2, n_test / 2)

# 可视化
fig, (ax1, ax2) = plt.subplots(1, 2, figsize=(14, 5))

# 左图:交换关联势
ax1.loglog(n_test, -vx_test, 'b-', linewidth=2, label='|Dirac 交换势|')
ax1.loglog(n_test, -vc_up_pz81, 'r--', linewidth=2, label='|PZ81 关联势|')
ax1.loglog(n_test, -vc_up_vwn, 'g:', linewidth=2, label='|VWN 关联势|')
ax1.set_xlabel('电子密度 n (Bohr⁻³)', fontsize=12)
ax1.set_ylabel('|势| (Hartree)', fontsize=12)
ax1.set_title('XC 势随密度变化', fontsize=14)
ax1.legend(fontsize=11)
ax1.grid(alpha=0.3, which='both')

# 右图:关联能量密度
ax2.semilogx(n_test, eps_c_pz81, 'r-', linewidth=2, label='PZ81')
ax2.semilogx(n_test, eps_c_vwn, 'g--', linewidth=2, label='VWN')
ax2.set_xlabel('电子密度 n (Bohr⁻³)', fontsize=12)
ax2.set_ylabel('ε_c (Hartree)', fontsize=12)
ax2.set_title('关联能量密度', fontsize=14)
ax2.legend(fontsize=11)
ax2.grid(alpha=0.3)

plt.tight_layout()
plt.show()

print("关键观察:")
print("  • 交换势 ∝ n^(1/3),关联势在低密度区增强")
print("  • PZ81 和 VWN 在中等密度区非常接近")
print("  • 高密度极限:交换占主导")
../_images/tutorials_05-dft-xc_6_0.png

Al 原子:PZ81 vs VWN

对比两种关联泛函的计算结果:

[5]:

# 生成网格 r, w = radial_grid_linear(n=800, rmin=1e-5, rmax=30.0) # Al 原子配置(Z=13 会自动使用 default_occupations) # PZ81 计算 cfg_pz81 = SCFConfig(Z=13, r=r, w=w, maxiter=50, tol=1e-6) result_pz81 = run_lsda_pz81(cfg_pz81) # VWN 计算 cfg_vwn = SCFConfig(Z=13, r=r, w=w, maxiter=50, tol=1e-6) result_vwn = run_lsda_vwn(cfg_vwn) print('Al 原子泛函比较:') print(' 泛函 总能量 (Ha) E_xc (Ha) 3s 能量 (eV)') print(' ' + '-' * 58) E_total_pz81 = safe_energy(result_pz81, 'E_total') E_xc_pz81 = safe_energy(result_pz81, 'E_xc') eps_3s_pz81 = get_eps(result_pz81, l=0, spin='up', idx=2) E_total_vwn = safe_energy(result_vwn, 'E_total') E_xc_vwn = safe_energy(result_vwn, 'E_xc') eps_3s_vwn = get_eps(result_vwn, l=0, spin='up', idx=2) print(f" PZ81 {E_total_pz81:>12.6f} {E_xc_pz81:>10.6f} {eps_3s_pz81*27.211:>12.3f}") print(f" VWN {E_total_vwn:>12.6f} {E_xc_vwn:>10.6f} {eps_3s_vwn*27.211:>12.3f}") print(f"\n 能量差: {abs(E_total_pz81 - E_total_vwn):.6f} Ha") print(f" 能量差: {abs(E_total_pz81 - E_total_vwn) * 27.211:.3f} eV")

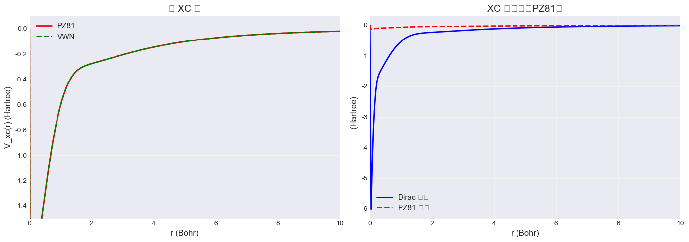
XC 势空间分布

可视化 Al 原子的交换关联势:

[6]:
fig, (ax1, ax2) = plt.subplots(1, 2, figsize=(14, 5))

# 左图:总 XC 势
v_xc_pz81 = result_pz81.v_x_up + (result_pz81.v_c_up if result_pz81.v_c_up is not None else 0.0)  # 自旋向上分量
v_xc_vwn = result_vwn.v_x_up + (result_vwn.v_c_up if result_vwn.v_c_up is not None else 0.0)

ax1.plot(r, v_xc_pz81, 'r-', linewidth=2, label='PZ81')
ax1.plot(r, v_xc_vwn, 'g--', linewidth=2, label='VWN')
ax1.set_xlabel('r (Bohr)', fontsize=12)
ax1.set_ylabel('V_xc(r) (Hartree)', fontsize=12)
ax1.set_title('总 XC 势', fontsize=14)
ax1.set_xlim(0, 10)
ax1.set_ylim(-1.5, 0.1)
ax1.legend(fontsize=11)
ax1.grid(alpha=0.3)

# 右图:交换与关联分量
ax2.plot(r, result_pz81.v_x_up, 'b-', linewidth=2, label='Dirac 交换')
ax2.plot(r, result_pz81.v_c_up, 'r--', linewidth=2, label='PZ81 关联')
ax2.set_xlabel('r (Bohr)', fontsize=12)
ax2.set_ylabel('势 (Hartree)', fontsize=12)
ax2.set_title('XC 势分量(PZ81)', fontsize=14)
ax2.set_xlim(0, 10)
ax2.legend(fontsize=11)
ax2.grid(alpha=0.3)

plt.tight_layout()
plt.show()

print("\nXC 势特征:")
print(f"  核附近(r=0.1): V_xc = {v_xc_pz81[np.argmin(np.abs(r-0.1))]:.4f} Ha")
print(f"  远区(r=5.0):   V_xc = {v_xc_pz81[np.argmin(np.abs(r-5.0))]:.4f} Ha")
../_images/tutorials_05-dft-xc_10_0.png

LDA 泛函对比总结

泛函

适用场景

优点

缺点

PZ81

标准基准

参数简单、收敛稳定

高密度区略欠精确

VWN

高精度计算

低密度区更准确

参数复杂

实际应用建议

  • 教学演示:优先 PZ81(参数少、公式简洁)

  • 高精度计算:使用 VWN(低密度区更准确)

  • 对大多数原子,两者差异 < 0.1 eV

关键概念

  • 局域近似\(\epsilon_{\mathrm{xc}}(n(r))\) 仅依赖 \(n(r)\),忽略梯度

  • 势的导出\(v_{\mathrm{xc}} = \delta E_{\mathrm{xc}} / \delta n\)

  • 自旋极化\(\epsilon_c(n, \zeta)\) 依赖自旋极化度 \(\zeta = (n_\uparrow - n_\downarrow) / n\)

下一步

06-spin.ipynb 中,学习如何处理开壳层体系的自旋问题。